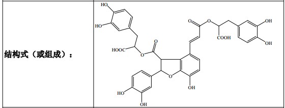
丹酚酸B
| 【编号】:111562
【产品名称】:丹酚酸B 【规格】:约20 mg/支 【用途】:含量测定 ![]()
丹酚酸B供中国药典 2010 年版一部丹参、丹参总酚酸提取物、包心片、丹参片、复方丹参片、利脑心胶囊等项下鉴别及含量测定用,含量以 95.4%计
![]()
分子式: C36H30O16
分子量: 718.61
使用方法: 使用前无需处理
包装及装量: 棕色安瓿瓶 每支约 20 毫克
保存条件: 冷冻保存(-20℃,遮光)
注意事项: 打开包装后一次使用完毕
|
| 上一篇:毛蕊花糖苷(麦角甾苷) | 下一篇:西红花苷Ⅰ |
|---|



