毛蕊花糖苷(麦角甾苷)
| 【编号】:111530
【产品名称】:毛蕊花糖苷(麦角甾苷) 【规格】:20mg/支 【用途】:含量测定 ![]()
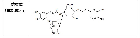
毛蕊花糖苷(麦角甾苷)(Verbascoside (Acteoside))对照品系供中国药典一部肉苁蓉等项下鉴别及含量测定用。使用前无需处理,含量以 92.9%计。
![]()
分子式: C29H36O15
分子量: 624.59
CAS号:61276-17-3
使用方法: 使用前无需处理
包装及装量: 棕色安瓿瓶,约 20mg/支
保存条件: 冷处保存(2-8℃,避光)
注意事项: 本品极具引湿性,打开包装后一次使用完毕
|
| 上一篇:去氢木香内酯 | 下一篇:丹酚酸B |
|---|



