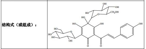
羟基红花黄色素A
| 【编号】:111637
【产品名称】:羟基红花黄色素A 【规格】:约20 mg/支 【用途】:含量测定 ![]()
羟基红花黄色素A供中国药典 2010 年版一部红花项下含量测定用,含量以 92.5%计
![]()
分子式: C27H32O16
分子量: 612.53
使用方法: 使用前无需处理
包装及装量: 棕色安瓿瓶 每支约 20 毫克
保存条件: 冷冻保存(-20℃,遮光)
注意事项: 打开包装后一次使用完毕
|
| 上一篇:α-亚麻酸 | 下一篇:甘油三油酸酯 |
|---|



