您的位置:对照品 > 对照品 > 液相标准品 > |
|
|
|
| 产品基本信息 |
|
| 产品编号:C29H36O15 |
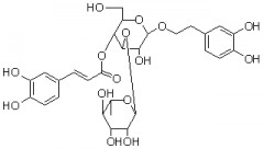
| 产品名称:类叶升麻苷(麦角甾苷;毛蕊花糖苷)对照品 |
| 产品CAS:61276-17-3 |
| 规格含量:20mg |
| 产品价格:480 |
| 联系我们: |
|
|
|
|
|
| 产品详细介绍 |
|
中文名称 |
类叶升麻苷对照品 |
中文别名 |
麦角甾苷;毛蕊花糖苷 |
|
英文名 |
Acteoside |
英文别名 |
Verbascoside; Kusaginin |
|
分子式 |
|
C29H36O15 |
分子量 |
624.59 |
CAS登录号 |
61276-17-3 |
|
|
提取来源 |
|
列当科植物肉苁蓉Cistanche deserticola Y.C. Ma的干燥带鳞叶的肉质茎 |
化学结构 |
|
|
外观 |
|
白色针晶 |
 |
|
NMR; MS |
|
4℃冷藏、密封、避光 |
|
2年 |
|
无 |
|
|
鉴别方法 |
|
贮存条件 |
|
有效期 |
|
注意事项 |
|
溶解性 |
易溶于乙醇、甲醇、醋酸乙酯,不溶于石油醚。 |
|
测定方法 |
色谱条件:Diamonsil C18色谱柱(200mm×4.6mm,5μm);以乙腈-甲醇-1%醋酸水溶液(10:15:75)为流动相;体积流量为1.0mL/min;柱温35℃;检测波长334nm。 |
|
药典测定方法 |
补充中 |
|
用途 |
用于含量测定/鉴定/药理实验等 |
|
|
|
|
|