您的位置:对照品 > 对照品 > 液相标准品 > |
|
|
|
| 产品基本信息 |
|
| 产品编号:C52H84O21 |
| 产品名称:酸枣仁皂苷B(酸枣仁皂甙B,酸枣皂甙B)对照品 |
| 产品CAS:55466-05-2 |
| 规格含量:20mg |
| 产品价格:600 |
| 联系我们: |
|
|
|
|
|
| 产品详细介绍 |
|
中文名称 |
酸枣仁皂苷B对照品 |
中文别名 |
酸枣仁皂甙B,酸枣皂甙B |
|
英文名 |
Jujuboside B |
英文别名 |
补充中 |
|
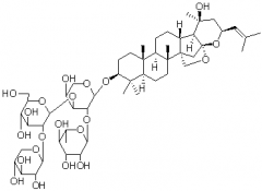
分子式 |
|
C52H84O21 |
分子量 |
1045.21 |
CAS登录号 |
55466-05-2 |
|
|
提取来源 |
|
鼠李科植物酸枣的种子,又名枣仁、酸枣核。 |
化学结构 |
|
|
外观 |
|
无色针晶(甲醇) |
 |
|
NMR; MS |
|
4℃冷藏、密封、避光 |
|
2年 |
|
无 |
|
|
鉴别方法 |
|
贮存条件 |
|
有效期 |
|
注意事项 |
|
溶解性 |
补充中 |
|
测定方法 |
HPLC法,以十八烷基硅烷键合硅胶为填料,使用以乙腈和水为流动相的二元梯度洗脱方法,***初7 min为乙腈一水(28:72),7—13min内乙腈浓度梯度上升为35%,维持至22 min,22—25 min内乙腈浓度上升为45%,35 min结束,20 min平衡。检测波长为201nm。 |
|
药典测定方法 |
补充中 |
|
用途 |
用于含量测定/鉴定/药理实验等 |
|
|
|
|
|