欢迎光临:莱耀标准品网!
 您的位置:对照品 > 标准品 >
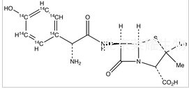
阿莫西林-14C6标准品
产品基本信息
产品编号:A634239
产品名称:阿莫西林-14C6标准品
产品CAS:
规格含量:500μCi,1mCi
产品价格:18W,25W
联系我们:
产品详细介绍

  阿莫西林-14C6标准品

  货号:A634239
  英文名称:Amoxicillin-14C6
  别名:  (2S,5R,6R)-6-[[(2R)-2-Amino-2-(4-hydroxyphenyl)acetyl]amino]-3,3-dimethyl-7-oxo-4-thia-1-azabicyclo[3.2.0]heptane-2-carboxylic Acid-14C6; AMPC-14C6; Amoxycillin-14C6; Helvamox-14C6 ; Pasetocin-14C6; Penimox-14C6; Zamocillin-14C6;
  规格:500μCi,1mCi
  结构式:
阿莫西林-14C6标准品
  分子式:C1014C6H19N3O5S
  分子量:377.36
  产品类别:莱耀生物标准品,北京莱耀生物提供
  注:产品名称以英文名称为准
点击查看产品价格


2011-2018 信阳莱耀生物科技有限公司 @ 信阳埃尔文生物科技有限公司版权所有

中检所标准品,对照品,标准气体
Keywords: 中检所标准品 对照品 标准气体