欢迎光临:莱耀标准品网!
 您的位置:对照品 > 标准品 >
阿莫西林-13C6标准品
产品基本信息
产品编号:A634237
产品名称:阿莫西林-13C6标准品
产品CAS:
规格含量:1mg,10mg
产品价格:4500元,36000元
联系我们:
产品详细介绍

  阿莫西林-13C6标准品

  货号:A634237
  英文名称:Amoxicillin-13C6
  别名: (2S,5R,6R)-6-[[(2R)-2-Amino-2-(4-hydroxyphenyl)acetyl]amino]-3,3-dimethyl-7-oxo-4-thia-1-azabicyclo[3.2.0]heptane-2-carboxylic Acid-13C6; AMPC-13C6; Amoxycillin-13C6; Helvamox-13C6 ; Pasetocin-13C6; Penimox-13C6; Zamocillin-13C6;
  规格:1mg,10mg
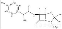
  结构式:
阿莫西林-13C6标准品
  分子式:C1013C6H19N3O5S
  分子量:371.36
  产品类别:莱耀生物标准品,北京莱耀生物提供
  注:产品名称以英文名称为准
点击查看产品价格


2011-2018 信阳莱耀生物科技有限公司 @ 信阳埃尔文生物科技有限公司版权所有

中检所标准品,对照品,标准气体
Keywords: 中检所标准品 对照品 标准气体