化学对照品
自制对照品
对照药材
中药对照品
工作对照品
国家对照品
杂质对照品
中检所对照品
液相标准品
Supelco
Witega
APSC
NIST
NU-Chek
ChromaDex
Fermentek
菊苣酸对照品
我要购买
产品编号:VIP(ly)0514
产品规格:20mg
产品价格:800元
产品详情
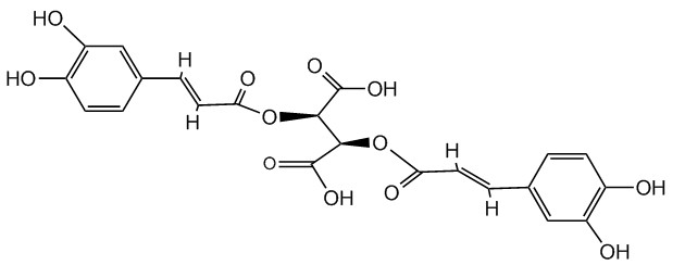
菊苣酸对照品
分子式:C22H18O12
分子量:474.37
CAS:70831-56-0
性状:白色结晶粉末
溶解度:溶于甲醇
电话咨询