美国药典
进口标准品
TRC
分析标准品
英国药典
欧洲药典标准品
农药标准品
dr标准品
TLC标准品
lgc标准品
sigma
larodan标准品
NIBSC
cato
IRMM
Cerilliant
Chemservice
accustandard
o2si
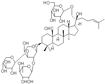
绞股蓝皂苷XLIX(绞股蓝皂甙XLIX)对照品
我要购买
产品编号:C52H86O21
产品规格:20mg
产品价格:800
产品详情
中文名称
绞股蓝皂苷XLIX对照品
中文别名
绞股蓝皂甙XLIX
英文名
Gypenoside XLIX
英文别名
补充中
分子式
C52H86O21
分子量
1047.22
CAS登录号
94987-08-3
提取来源
葫芦科植物绞股蓝(Fiveleaf Gynostemma Herb)
化学结构
外观
白色粉末
NMR; MS
4℃冷藏、密封、避光
2年
无
鉴别方法
贮存条件
有效期
注意事项
溶解性
可溶于甲醇、水,不溶于石油醚、氯仿等有机溶剂。
测定方法
补充中
药典测定方法
补充中
用途
用于含量测定/鉴定/药理实验等
电话咨询