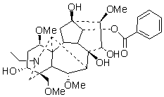
产品编号:C32H45NO10
产品规格:20mg
产品价格:1280
| 中文名称 | 苯甲酰乌头原碱对照品 | 中文别名 | 补充中 | ||||||||
| 英文名 | Benzoylaconine | 英文别名 | Benzaconine; Isaconitine; Pikraconitin | ||||||||
| 分子式 |
|
||||||||||
| 提取来源 |
|
||||||||||
| 外观 |
|
||||||||||
| 鉴别方法 | |||||||||||
| 贮存条件 | |||||||||||
| 有效期 | |||||||||||
| 注意事项 | |||||||||||
| 溶解性 | 补充中 | ||||||||||
| 测定方法 | HPLC法,使用AichromBond-1 C18柱(250 mm×4.6 mm ID);流动相:乙腈-5 mmol•L-1NaH2PO4溶液,磷酸调至pH 4.5(50:50),内含7 mmol•L-1十二烷基硫酸钠(SDS);检测波长:235 nm;流速:1.0 mL•min-1;柱温:35℃. | ||||||||||
| 药典测定方法 | 补充中 | ||||||||||
| 用途 | 用于含量测定/鉴定/药理实验等 | ||||||||||