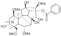
产品编号:C31H43NO10
产品规格:20mg
产品价格:1280
| 中文名称 | 苯甲酰新乌头原碱对照品 | 中文别名 | 苯甲酰中乌头原碱 | ||||||||
| 英文名 | Benzoylmesaconine | 英文别名 | Mesaconine 14-benzoate; O8-Deacetylmesaconitine | ||||||||
| 分子式 |
|
||||||||||
| 提取来源 |
|
||||||||||
| 外观 |
|
||||||||||
| 鉴别方法 | |||||||||||
| 贮存条件 | |||||||||||
| 有效期 | |||||||||||
| 注意事项 | |||||||||||
| 溶解性 | 补充中 | ||||||||||
| 测定方法 | HPLC法,采用ZorbaxExtend-C18(250×4.6 mm,5μm)色谱柱,以乙腈-40 mmol/L醋酸铵缓冲液(氨水调pH10.0)为流动相进行梯度洗脱,流速1.0 mL/min,检测波长230nm。 | ||||||||||
| 药典测定方法 | 补充中 | ||||||||||
| 用途 | 用于含量测定/鉴定/药理实验等 | ||||||||||