化学对照品
自制对照品
对照药材
中药对照品
工作对照品
国家对照品
杂质对照品
中检所对照品
液相标准品
Supelco
Witega
APSC
NIST
NU-Chek
ChromaDex
Fermentek
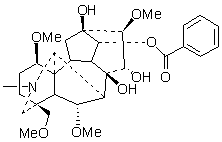
苯甲酰次乌头原碱对照品
我要购买
产品编号:C31H43NO9
产品规格:20mg
产品价格:1280
产品详情
中文名称
苯甲酰次乌头原碱对照品
中文别名
补充中
英文名
Benzoylhypacoitine
英文别名
Benzoylhypaconine
分子式
C31H43NO9
分子量
573.29
CAS登录号
63238-66-4
提取来源
毛茛科植物乌头(Aconitum carmichaeli Debx.)
化学结构
外观
白色针晶粉
NMR; MS
4℃冷藏、密封、避光
2年
无
鉴别方法
贮存条件
有效期
注意事项
溶解性
可溶于酸性水溶液。
测定方法
补充中
药典测定方法
补充中
用途
用于含量测定/鉴定/药理实验等
电话咨询