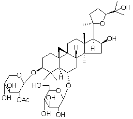
产品编号:C43H70O15
产品规格:20mg
产品价格:1200
| 中文名称 | 黄芪皂苷II对照品 | 中文别名 | 黄芪皂甙II | ||||||||
| 英文名 | Astragaloside II | 英文别名 | Astrasieversianin VIII | ||||||||
| 分子式 |
|
||||||||||
| 提取来源 |
|
||||||||||
| 外观 |
|
||||||||||
| 鉴别方法 | |||||||||||
| 贮存条件 | |||||||||||
| 有效期 | |||||||||||
| 注意事项 | |||||||||||
| 溶解性 | 补充中 | ||||||||||
| 测定方法 | HPLC法,以十八烷基硅烷键合硅胶为填料,流动相为乙腈、水,梯度洗脱,流速lmL/min,柱温30℃,漂移管温度80℃,气体(空气)压力为50psi。 | ||||||||||
| 药典测定方法 | 补充中 | ||||||||||
| 用途 | 用于含量测定/鉴定/药理实验等 | ||||||||||