化学对照品
自制对照品
对照药材
中药对照品
工作对照品
国家对照品
杂质对照品
中检所对照品
液相标准品
Supelco
Witega
APSC
NIST
NU-Chek
ChromaDex
Fermentek
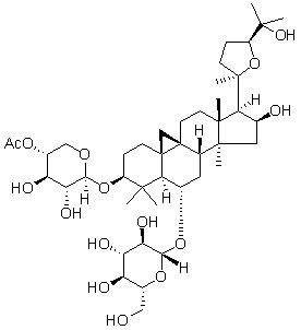
环黄芪苷II对照品
我要购买
产品编号:C43H70O15
产品规格:5mg
产品价格:1880
产品详情
中文名称
环黄芪苷II对照品
中文别名
补充中
英文名
Cyclocephaloside II
英文别名
补充中
分子式
C43H70O15
分子量
827.01
CAS登录号
215776-78-6
提取来源
豆科植物蒙古黄芪 Astragalusmembranaceus (Fisch.) Bge. var. mongholicus (Bge.)Hsiao 或膜荚黄芪 Astragalus membranaceus(Fisch.) Bge.的干燥根
化学结构
外观
白色粉末
MS,NMR
4℃冷藏、密封、避光
2年
无
鉴别方法
贮存条件
有效期
注意事项
溶解性
溶于甲醇,不溶于氯仿
测定方法
补充中
药典测定方法
补充中
用途
用于含量测定/鉴定/药理实验等
电话咨询