美国药典
进口标准品
TRC
分析标准品
英国药典
欧洲药典标准品
农药标准品
dr标准品
TLC标准品
lgc标准品
sigma
larodan标准品
NIBSC
cato
IRMM
Cerilliant
Chemservice
accustandard
o2si
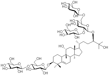
异罗汉果皂苷V对照品
我要购买
产品编号:C60H102O29
产品规格:10mg
产品价格:2980
产品详情
中文名称
异罗汉果皂苷V对照品
中文别名
无
英文名
isomogroside V
英文别名
补充中
分子式
C60H102O29
分子量
1287.43
CAS登录号
1126032-65-2
提取来源
葫芦科植物罗汉果 Siraitia grosvenorii (Swingle) C. Jeffrey ex Lu et Z. Y. Zhang 的干燥果实
化学结构
外观
白色晶体
NMR; MS
4℃冷藏、密封、避光
2年
无
鉴别方法
贮存条件
有效期
注意事项
溶解性
可溶于水、甲醇、乙醇,不溶于石油醚、氯仿等低极性有机溶剂。
测定方法
补充中
药典测定方法
补充中
用途
用于含量测定/鉴定/药理实验等
电话咨询