化学对照品
自制对照品
对照药材
中药对照品
工作对照品
国家对照品
杂质对照品
中检所对照品
液相标准品
Supelco
Witega
APSC
NIST
NU-Chek
ChromaDex
Fermentek
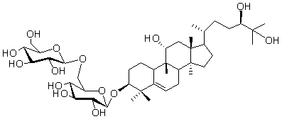
罗汉果皂苷ⅡA2(罗汉果皂甙ⅡA2)对照品
我要购买
产品编号:C42H72O14
产品规格:20mg
产品价格:2600
产品详情
中文名称
罗汉果皂苷ⅡA2对照品
中文别名
罗汉果皂甙ⅡA2
英文名
mogroside ⅡA2
英文别名
补充中
分子式
C42H72O14
分子量
801.01
CAS登录号
88901-45-5
提取来源
葫芦科植物罗汉果 Siraitia grosvenorii (Swingle) C. Jeffrey ex Lu et Z. Y. Zhang 的干燥果实
化学结构
外观
白色晶体
NMR; MS
4℃冷藏、密封、避光
2年
无
鉴别方法
贮存条件
有效期
注意事项
溶解性
可溶于水、甲醇、乙醇,不溶于石油醚、氯仿等低极性有机溶剂。
测定方法
补充中
药典测定方法
补充中
用途
用于含量测定/鉴定/药理实验等
电话咨询