美国药典
进口标准品
TRC
分析标准品
英国药典
欧洲药典标准品
农药标准品
dr标准品
TLC标准品
lgc标准品
sigma
larodan标准品
NIBSC
cato
IRMM
Cerilliant
Chemservice
accustandard
o2si
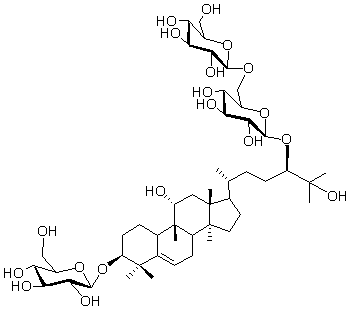
罗汉果皂苷III(罗汉果苷III;罗汉果甙III)对照品
我要购买
产品编号:C48H82O19
产品规格:20mg
产品价格:2980
产品详情
中文名称
罗汉果皂苷III对照品
中文别名
罗汉果苷III; 罗汉果甙III
英文名
Mogroside III
英文别名
补充中
分子式
C48H82O19
分子量
963.15
CAS登录号
130567-83-8
提取来源
葫芦科罗汉果Momordica grosvenori
化学结构
外观
白色粉末
NMR; MS
4℃冷藏、密封、避光
2年
无
鉴别方法
贮存条件
有效期
注意事项
溶解性
可溶于水,不溶于石油醚、氯仿等有机溶剂。
测定方法
补充中
药典测定方法
补充中
用途
用于含量测定/鉴定/药理实验等
电话咨询