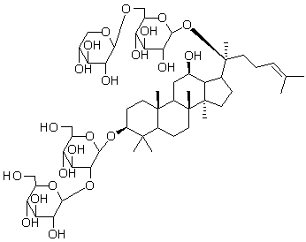
产品编号:C53H90O22
产品规格:20mg
产品价格:560
| 中文名称 | 人参皂苷Rb3对照品 | 中文别名 | 补充中 | ||||||||
| 英文名 | Ginsenoside Rb3 | 英文别名 | 补充中 | ||||||||
| 分子式 |
|
||||||||||
| 提取来源 |
|
||||||||||
| 外观 |
|
||||||||||
| 鉴别方法 | |||||||||||
| 贮存条件 | |||||||||||
| 有效期 | |||||||||||
| 注意事项 | |||||||||||
| 溶解性 | 补充中 | ||||||||||
| 测定方法 | HPLC法,以十八烷基硅烷键合硅胶为填料,乙腈-水梯度洗脱, 0~19 min( 30: 70→35: 65) , 19~21 min( 35: 65→50: 50) ; 21~26 min( 50: 50) , 流速:1. 0 mL. min-1 , 检测波长: 203 nm, 柱温: 30℃, 进样量: 10μL。 | ||||||||||
| 药典测定方法 | HPLC法,以十八烷基硅烷键合硅胶为填料,乙腈和0.2%磷酸进行梯度洗脱,检测波长: 203 nm。 | ||||||||||
| 用途 | 用于含量测定/鉴定/药理实验等 | ||||||||||