美国药典
进口标准品
TRC
分析标准品
英国药典
欧洲药典标准品
农药标准品
dr标准品
TLC标准品
lgc标准品
sigma
larodan标准品
NIBSC
cato
IRMM
Cerilliant
Chemservice
accustandard
o2si
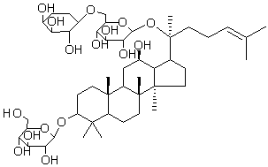
人参皂苷Rd2对照品
我要购买
产品编号:C48H82O16
产品规格:10mg
产品价格:2600
产品详情
中文名称
人参皂苷Rd2对照品
中文别名
补充中
英文名
ginsenoside Rd2
英文别名
补充中
分子式
C48H82O16
分子量
915.16
CAS登录号
83480-64-2
提取来源
人参叶
化学结构
外观
白色粉末
NMR,MS
4℃冷藏、密封、避光
2年
无
鉴别方法
贮存条件
有效期
注意事项
溶解性
溶于甲醇
测定方法
补充中
药典测定方法
补充中
用途
用于含量测定/鉴定/药理实验等
电话咨询