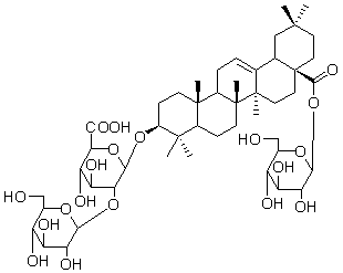
产品编号:C48H76O19
产品规格:20mg
产品价格:780
| 中文名称 | 人参皂苷Ro对照品 | 中文别名 | 补充中 | ||||||||
| 英文名 | Ginsenoside Ro | 英文别名 | 补充中 | ||||||||
| 分子式 |
|
||||||||||
| 提取来源 |
|
||||||||||
| 外观 |
|
||||||||||
| 鉴别方法 | |||||||||||
| 贮存条件 | |||||||||||
| 有效期 | |||||||||||
| 注意事项 | |||||||||||
| 溶解性 | 易溶于水、甲醇、乙醇,不溶于乙醚、苯。 | ||||||||||
| 测定方法 | HPLC法,以KxomasiI-C18(5um,4.6mm×250mm):流动相:乙腈-0.2%磷酸溶液(36:64);柱温:30℃;流速:1.0ml/mim;检测波长:203nm。 | ||||||||||
| 药典测定方法 | 补充中 | ||||||||||
| 用途 | 用于含量测定/鉴定/药理实验等 | ||||||||||