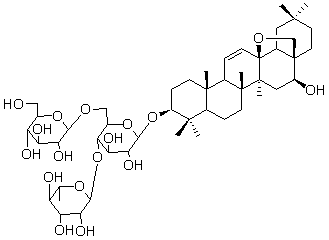
产品编号:C48H78O17
产品规格:20mg
产品价格:700
| 中文名称 | 柴胡皂苷C对照品 | 中文别名 | 补充中 | ||||||||
| 英文名 | Saikosaponin C | 英文别名 | 补充中 | ||||||||
| 分子式 |
|
||||||||||
| 提取来源 |
|
||||||||||
| 外观 |
|
||||||||||
| 鉴别方法 | |||||||||||
| 贮存条件 | |||||||||||
| 有效期 | |||||||||||
| 注意事项 | |||||||||||
| 溶解性 | 易溶于水,稀醇,特别是热水和热醇,在丁醇和戊醇中溶解性大,难溶或不溶于苯,乙醚,氯仿等溶剂。 | ||||||||||
| 测定方法 | 采用HPLC 法,色谱柱为C18柱,以甲醇-水(61:39)为流动相,检测波长为203nm。 | ||||||||||
| 药典测定方法 | 补充中 | ||||||||||
| 用途 | 用于含量测定/鉴定/药理实验等 | ||||||||||