产品编号:C71H116O35
产品规格:10mg
产品价格:2980
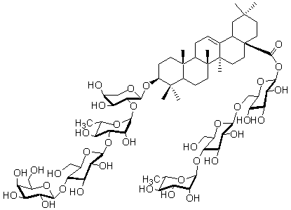
| 中文名称 | 白头翁皂苷E3对照品 | 中文别名 | 3-O-β-D-葡萄糖( 1→4)β-D葡萄糖( 1→3)-α-L-鼠李糖(1→2)-α-L-阿拉伯糖-齐墩果酸-28-O-α-L-鼠李糖(1→4)β-D-葡萄糖( 1→6)-β-D-葡萄糖苷 | ||||||||
| 英文名 | oleanolic acid 3-O-β-D-glucopyranosyl-(1→4)-β-D-glucopyranosyl-(1→3)-α-L-rhamnopyranosyl- (1→2)-α-L-arabinopyranosyl-28-O-α-L-rhamnopyranosyl-(1→4)-β-D-glucopyranosyl-(1→6)-β-D-glucopyranosyl ester | 英文别名 | 补充中 | ||||||||
| 分子式 |
|
||||||||||
| 提取来源 |
|
||||||||||
| 外观 |
|
||||||||||
| 鉴别方法 | |||||||||||
| 贮存条件 | |||||||||||
| 有效期 | |||||||||||
| 注意事项 | |||||||||||
| 溶解性 | 溶于甲醇 | ||||||||||
| 测定方法 | 补充中 | ||||||||||
| 药典测定方法 | 补充中 | ||||||||||
| 用途 | 用于含量测定/鉴定/药理实验等 | ||||||||||