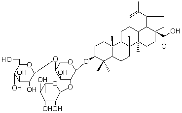
产品编号:C47H76O16
产品规格:5mg
产品价格:2980
| 中文名称 | 羽扇豆酸-3-[ D-葡萄糖(1→4)[ L-鼠李糖) (1→2)-L-阿拉伯糖苷]对照品 | 中文别名 | 补充中 | ||||||||
| 英文名 | Lup-20(29)-en-28-oic acid, 3-[ D-glucopyranosyl(1→4)[ L-rhamnopyranosyl) (1→2)-L-arabinopyranosyl]oxy], (3,4)-) | 英文别名 | 补充中 | ||||||||
| 分子式 |
|
||||||||||
| 提取来源 |
|
||||||||||
| 外观 |
|
||||||||||
| 鉴别方法 | |||||||||||
| 贮存条件 | |||||||||||
| 有效期 | |||||||||||
| 注意事项 | |||||||||||
| 溶解性 | 可溶于甲醇、乙腈、乙醇等溶剂,不溶于石油醚。 | ||||||||||
| 测定方法 | 补充中 | ||||||||||
| 药典测定方法 | 补充中 | ||||||||||
| 用途 | 用于含量测定/鉴定/药理实验等 | ||||||||||