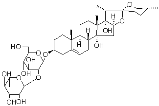
产品编号:C39H62O14
产品规格:10mg
产品价格:2480
| 中文名称 | 3-O-α-L-鼠李糖-(1→2)-β-葡萄糖麦冬苷元对照品 | 中文别名 | 麦冬皂苷Ra | ||||||||
| 英文名 | Ophiogenin-3-O-α-L-rhamnosyl-(1→2)-β-D-glucoside | 英文别名 | Saponin V | ||||||||
| 分子式 |
|
||||||||||
| 提取来源 |
|
||||||||||
| 外观 |
|
||||||||||
| 鉴别方法 | |||||||||||
| 贮存条件 | |||||||||||
| 有效期 | |||||||||||
| 注意事项 | |||||||||||
| 溶解性 | 溶于氯仿/甲醇,微溶于甲醇 | ||||||||||
| 测定方法 | 补充中 | ||||||||||
| 药典测定方法 | 补充中 | ||||||||||
| 用途 | 用于含量测定/鉴定/药理实验等 | ||||||||||