化学对照品
自制对照品
对照药材
中药对照品
工作对照品
国家对照品
杂质对照品
中检所对照品
液相标准品
Supelco
Witega
APSC
NIST
NU-Chek
ChromaDex
Fermentek
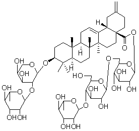
刺五加皂苷B对照品
我要购买
产品编号:C58H92O25
产品规格:20mg
产品价格:1500
产品详情
中文名称
刺五加皂苷B对照品
中文别名
补充中
英文名
Ciwujianoside B
英文别名
补充中
分子式
C58H92O25
分子量
1189.34
CAS登录号
114902-16-8
提取来源
五加科植物刺五加(Acanthopanax senticosus Harms)。
化学结构
外观
补充中…
NMR; MS
4℃冷藏、密封、避光
2年
无
鉴别方法
贮存条件
有效期
注意事项
溶解性
补充中…
测定方法
补充中…
药典测定方法
补充中…
用途
用于含量测定/鉴定/药理实验等
电话咨询