美国药典
进口标准品
TRC
分析标准品
英国药典
欧洲药典标准品
农药标准品
dr标准品
TLC标准品
lgc标准品
sigma
larodan标准品
NIBSC
cato
IRMM
Cerilliant
Chemservice
accustandard
o2si
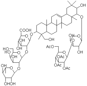
大豆皂苷Ac对照品
我要购买
产品编号:C67H104O32
产品规格:5mg
产品价格:2500
产品详情
中文名称
大豆皂苷Ac对照品
中文别名
补充中
英文名
Soyasaponin Ac
英文别名
补充中
分子式
C67H104O32
分子量
1421.52
CAS登录号
133882-74-3
提取来源
黄豆胚芽
化学结构
外观
白色粉末
NMR,MS
4℃冷藏、密封、避光
2年
无
鉴别方法
贮存条件
有效期
注意事项
溶解性
溶于甲醇,稀碱水溶液
测定方法
补充中
药典测定方法
补充中
用途
用于含量测定/鉴定/药理实验等
电话咨询