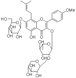
产品编号:C38H48O19
产品规格:20mg
产品价格:800
| 中文名称 | 朝藿定B对照品 | 中文别名 | 淫羊霍定B | ||||||||
| 英文名 | Epimedin B | 英文别名 | 补充中 | ||||||||
| 分子式 |
|
||||||||||
| 提取来源 |
|
||||||||||
| 外观 |
|
||||||||||
| 鉴别方法 | |||||||||||
| 贮存条件 | |||||||||||
| 有效期 | |||||||||||
| 注意事项 | |||||||||||
| 溶解性 | 补充中 | ||||||||||
| 测定方法 | HPLC法,以十八烷基硅烷键合硅胶为填料,以乙腈( A) - 水( B ), 梯度洗脱( 0~ 8 min, 27% A; 8~ 30 min, 27%-29% A), 流速1 mL• min- 1, 检测波长270 nm。 | ||||||||||
| 药典测定方法 | 补充中 | ||||||||||
| 用途 | 用于含量测定/鉴定/药理实验等 | ||||||||||