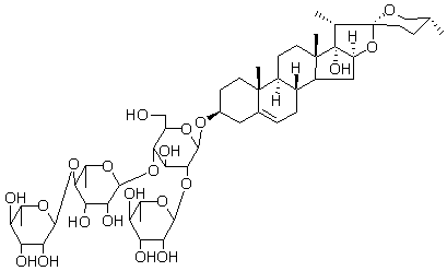
产品编号:C51H82O21
产品规格:20mg
产品价格:980
| 中文名称 | 重楼皂苷VII对照品 | 中文别名 | 重楼皂甙VII | ||||||||
| 英文名 | Polyphyllin VII | 英文别名 | Chonglouoside VII | ||||||||
| 分子式 |
|
||||||||||
| 提取来源 |
|
||||||||||
| 外观 |
|
||||||||||
| 鉴别方法 | |||||||||||
| 贮存条件 | |||||||||||
| 有效期 | |||||||||||
| 注意事项 | |||||||||||
| 溶解性 | 补充中 | ||||||||||
| 测定方法 | 以十八烷基硅烷键合硅胶为填料,以乙腈-水(41:59),流速:1.0mL/min,柱温:室温,检测波长:203nm, 理论板数按重楼皂苷VII峰计算应不低于4000。 | ||||||||||
| 药典测定方法 | 补充中 | ||||||||||
| 用途 | 用于含量测定/鉴定/药理实验等 | ||||||||||