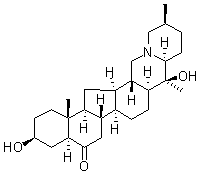
产品编号:C27H43NO3
产品规格:20mg
产品价格:420
| 中文名称 | 贝母素乙对照品 | 中文别名 | 贝母乙素,浙贝乙素 | ||||||||
| 英文名 | Peiminine | 英文别名 | Vertieinon | ||||||||
| 分子式 |
|
||||||||||
| 提取来源 |
|
||||||||||
| 外观 |
|
||||||||||
| 鉴别方法 | |||||||||||
| 贮存条件 | |||||||||||
| 有效期 | |||||||||||
| 注意事项 | |||||||||||
| 溶解性 | 补充中 | ||||||||||
| 测定方法 | HPLC法,以十八烷基硅烷键合硅胶为填料,流动相为甲醇- 乙腈-0.5% 醋酸溶液(8:19:73);蒸发光散射检测器。 | ||||||||||
| 药典测定方法 | HPLC法,以十八烷基硅烷键合硅胶为填料,流动相为乙腈-水-二乙胺(70:30:0.03);蒸发光散射检测器。 | ||||||||||
| 用途 | 用于含量测定/鉴定/药理实验等 | ||||||||||