化学对照品
自制对照品
对照药材
中药对照品
工作对照品
国家对照品
杂质对照品
中检所对照品
液相标准品
Supelco
Witega
APSC
NIST
NU-Chek
ChromaDex
Fermentek
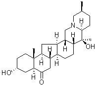
裕贝甲素对照品
我要购买
产品编号:C27H43NO3
产品规格:20mg
产品价格:3600
产品详情
中文名称
裕贝甲素对照品
中文别名
补充中
英文名
Yubeinine
英文别名
补充中
分子式
C27H43NO3
分子量
429.64
CAS登录号
157478-01-8
提取来源
伊贝母
化学结构
外观
白色粉末或晶体
NMR,MS
4℃冷藏、密封、避光
2年
无
鉴别方法
贮存条件
有效期
注意事项
溶解性
溶于甲醇、氯仿
测定方法
补充中
药典测定方法
补充中
用途
用于含量测定/鉴定/药理实验等
电话咨询