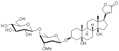
产品编号:C36H56O13
产品规格:10mg
产品价格:2980
| 中文名称 | 异杠柳毒苷对照品 | 中文别名 | 杠柳苷元-3-O-β -葡萄糖(1-4)-β- 箭毒羊角拗糖苷 | ||||||||
| 英文名 | periplogenin 3-O-β -glucopyranosyl- (1-4)-β- sarmentopyranoside | 英文别名 | 补充中 | ||||||||
| 分子式 |
|
||||||||||
| 提取来源 |
|
||||||||||
| 外观 |
|
||||||||||
| 鉴别方法 | |||||||||||
| 贮存条件 | |||||||||||
| 有效期 | |||||||||||
| 注意事项 | |||||||||||
| 溶解性 | 溶于甲醇、DMSO | ||||||||||
| 测定方法 | 补充中 | ||||||||||
| 药典测定方法 | 补充中 | ||||||||||
| 用途 | 用于含量测定/鉴定/药理实验等 | ||||||||||