化学对照品
自制对照品
对照药材
中药对照品
工作对照品
国家对照品
杂质对照品
中检所对照品
液相标准品
Supelco
Witega
APSC
NIST
NU-Chek
ChromaDex
Fermentek
次级皂苷CP6对照品
我要购买
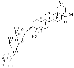
产品编号:C46H74O16
产品规格:5mg
产品价格:3000
产品详情
中文名称
次级皂苷CP6对照品
中文别名
补充中
英文名
Prosapogenin CP6
英文别名
补充中
分子式
C46H74O16
分子量
882
CAS登录号
72629-76-6
提取来源
毛茛科植物打破碗花花 Anemone hupehensis
化学结构
外观
白色晶体
NMR; MS
4℃冷藏、密封、避光
2年
无
鉴别方法
贮存条件
有效期
注意事项
溶解性
可溶于水、甲醇、乙醇等溶剂,不溶于石油醚、氯仿。
测定方法
补充中
药典测定方法
补充中
用途
用于含量测定/鉴定/药理实验等
电话咨询