美国药典
进口标准品
TRC
分析标准品
英国药典
欧洲药典标准品
农药标准品
dr标准品
TLC标准品
lgc标准品
sigma
larodan标准品
NIBSC
cato
IRMM
Cerilliant
Chemservice
accustandard
o2si
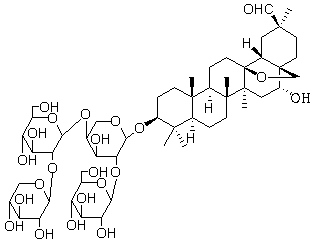
百两金素(百两金皂苷A)对照品
我要购买
产品编号:C52H84O22
产品规格:20mg
产品价格:1800
产品详情
中文名称
百两金素对照品
中文别名
百两金皂苷A
英文名
Ardisiacrispin A
英文别名
Deglucocyclamin;Saxifragifolin B
分子式
C52H84O22
分子量
1061.22
CAS登录号
23643-61-0
提取来源
紫金牛科的朱砂根、百两金等
化学结构
外观
粉末
NMR; MS
4℃冷藏、密封、避光
2年
无
鉴别方法
贮存条件
有效期
注意事项
溶解性
补充中
测定方法
补充中
药典测定方法
补充中
用途
用于含量测定/鉴定/药理实验等
电话咨询