美国药典
进口标准品
TRC
分析标准品
英国药典
欧洲药典标准品
农药标准品
dr标准品
TLC标准品
lgc标准品
sigma
larodan标准品
NIBSC
cato
IRMM
Cerilliant
Chemservice
accustandard
o2si
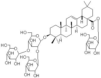
辽东楤木皂苷V(辽东楤木皂甙V)对照品
我要购买
产品编号:C54H88O23
产品规格:20mg
产品价格:面议
产品详情
中文名称
辽东楤木皂苷V对照品
中文别名
辽东楤木皂甙V
英文名
Araloside V
英文别名
Congmunoside V
分子式
C54H88O23
分子量
1104
CAS登录号
340963-86-2
提取来源
五加科楤木属辽东楤木(Aralia elate(Miq.)Seem.) 的根
化学结构
外观
白色无定形粉末
NMR; MS
4℃冷藏、密封、避光
2年
无
鉴别方法
贮存条件
有效期
注意事项
溶解性
可溶于水、热乙醇等溶剂,不溶于石油醚、氯仿、苯等有机溶剂。
测定方法
补充中
药典测定方法
补充中
用途
用于含量测定/鉴定/药理实验等
电话咨询