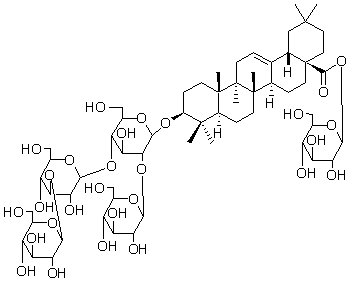
产品编号:C60H98O28
产品规格:20mg
产品价格:1600
| 中文名称 | 辽东楤木皂苷X对照品 | 中文别名 | 辽东楤木皂甙X | ||||||||
| 英文名 | Araloside X | 英文别名 | Congmunoside X;3-O-{[β-D-glucopyranosyl(1→2)]-[ β-D-glucopyran osyl(1→3)-β-D-glucopyranosyl(1→3)] β-D-glucopyranosy l}hederagenin 28-O-β-D-glucopyranosyl ester | ||||||||
| 分子式 |
|
||||||||||
| 提取来源 |
|
||||||||||
| 外观 |
|
||||||||||
| 鉴别方法 | |||||||||||
| 贮存条件 | |||||||||||
| 有效期 | |||||||||||
| 注意事项 | |||||||||||
| 溶解性 | 可溶于水,不溶于石油醚、氯仿。 | ||||||||||
| 测定方法 | 色谱柱Hypersil C18 ( 250 mm x 4. 6 mm, 5 μm)色谱柱为吸附剂, V (乙腈) :V (水) = 30:70 为流动相,检测波长为203 nm。 | ||||||||||
| 药典测定方法 | 补充中 | ||||||||||
| 用途 | 用于含量测定/鉴定/药理实验等 | ||||||||||