化学对照品
自制对照品
对照药材
中药对照品
工作对照品
国家对照品
杂质对照品
中检所对照品
液相标准品
Supelco
Witega
APSC
NIST
NU-Chek
ChromaDex
Fermentek
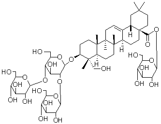
辽东楤木皂苷VII(辽东楤木皂甙VII)对照品
我要购买
产品编号:C54H88O24
产品规格:20mg
产品价格:面议
产品详情
中文名称
辽东楤木皂苷VII对照品
中文别名
辽东楤木皂甙VII
英文名
Araloside VII
英文别名
Congmunoside VII
分子式
C54H88O24
分子量
1120
CAS登录号
340982-22-1
提取来源
五加科楤木属辽东楤木(Aralia elate(Miq.)Seem.) 的根
化学结构
外观
白色粉末
NMR; MS
4℃冷藏、密封、避光
2年
无
鉴别方法
贮存条件
有效期
注意事项
溶解性
可溶于水,不溶于石油醚、氯仿、二氯甲烷等有机溶剂。
测定方法
补充中
药典测定方法
补充中
用途
用于含量测定/鉴定/药理实验等
电话咨询