产品编号:C33H52O8
产品规格:20mg
产品价格:480
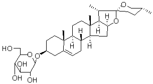
| 中文名称 | 延龄草苷对照品 | 中文别名 | 地索苷 | ||||||||
| 英文名 | Diosgenin glucoside | 英文别名 | Funkioside A; Lilioglycoside A; Melongoside B; Polygonatoside A; Polyphyllin A | ||||||||
| 分子式 |
|
||||||||||
| 提取来源 |
|
||||||||||
| 外观 |
|
||||||||||
| 鉴别方法 | |||||||||||
| 贮存条件 | |||||||||||
| 有效期 | |||||||||||
| 注意事项 | |||||||||||
| 溶解性 | 补充中 | ||||||||||
| 测定方法 | HPLC法,MetaChem ODS-3,流动相为乙腈-水-甲酸(80:20:0.1),流速为0.2ml/min,柱温30℃。ESI检测。 | ||||||||||
| 药典测定方法 | 补充中 | ||||||||||
| 用途 | 用于含量测定/鉴定/药理实验等 | ||||||||||