|
中文名称 |
(3β,6α,16β,20R,24S)-3-O-[(3,4-二乙酰基-β-D-木糖)]-20, 24-环氧-16,25-二羟基-9,19-环羊毛甾烷-6-O-葡萄糖苷对照品 |
中文别名 |
补充中 |
|
英文名 |
β-D-Glucopyranoside,(3β,6α,16β,20R,24S)-3-[(3,4-di-O-acetyl-β-D-xylopyranosyl)oxy]-20, 24-epoxy-16,25-dihydroxy-9,19-cyclolanostan-6-yl |
英文别名 |
补充中 |
|
分子式 |
|
C45H72O16 |
分子量 |
869.04 |
CAS登录号 |
1324005-51-7 |
|
|
提取来源 |
|
豆科植物蒙古黄芪 Astragalus membranaceus ( Fisch .) Bge . var. mongholicus ( Bge .) Hsiao 或膜荚黄芪 A. membranaceus ( Fisch .) Bge 。 |
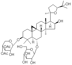
化学结构 |
|
|
外观 |
|
白色粉末 |
 |
|
MS,NMR |
|
4℃冷藏、密封、避光 |
|
2年 |
|
无 |
|
|
鉴别方法 |
|
贮存条件 |
|
有效期 |
|
注意事项 |
|
溶解性 |
溶于甲醇,不溶于氯仿 |
|
测定方法 |
补充中 |
|
药典测定方法 |
补充中 |
|
用途 |
用于含量测定/鉴定/药理实验等 |