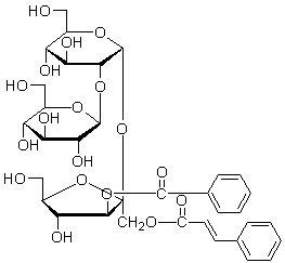
产品编号:C34H42O18
产品规格:10mg
产品价格:2980
| 中文名称 | 2'-肉桂酰基-3'-苯甲酰基-(2-O-α-葡萄糖基)蔗糖酯对照品 | 中文别名 | 无 | ||||||||
| 英文名 | 2'-cinnamoyl-3'-benzoyl-(2-O-α-glucosyl)-Sucrose | 英文别名 | 无 | ||||||||
| 分子式 |
|
||||||||||
| 提取来源 |
|
||||||||||
| 外观 |
|
||||||||||
| 鉴别方法 | |||||||||||
| 贮存条件 | |||||||||||
| 有效期 | |||||||||||
| 注意事项 | |||||||||||
| 溶解性 | 溶于甲醇,DMSO | ||||||||||
| 测定方法 | 甲醇/水=50/50,15min,50/50-90/10,30min;0.8ml/min;279nm | ||||||||||
| 药典测定方法 | 无 | ||||||||||
| 用途 | 用于含量测定/鉴定/药理实验等 | ||||||||||