美国药典
进口标准品
TRC
分析标准品
英国药典
欧洲药典标准品
农药标准品
dr标准品
TLC标准品
lgc标准品
sigma
larodan标准品
NIBSC
cato
IRMM
Cerilliant
Chemservice
accustandard
o2si
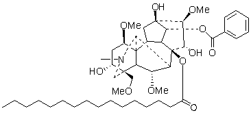
苯甲酰新乌头原碱-7-棕榈酸酯对照品
我要购买
产品编号:C47H73NO11
产品规格:20mg
产品价格:2980
产品详情
中文名称
苯甲酰新乌头原碱-7-棕榈酸酯对照品
中文别名
无
英文名
Benzoylmesaconine-7-Palmitate
英文别名
无
分子式
C47H73NO11
分子量
828.08
CAS登录号
158584-86-2
提取来源
乌头Aconitum carmichaeli Debx.
化学结构
外观
白色粉末或胶体状
NMR,MS
4℃冷藏、密封、避光
2年
无
鉴别方法
贮存条件
有效期
注意事项
溶解性
溶于氯仿,甲醇
测定方法
补充中
药典测定方法
无
用途
用于含量测定/鉴定/药理实验等
电话咨询