美国药典
进口标准品
TRC
分析标准品
英国药典
欧洲药典标准品
农药标准品
dr标准品
TLC标准品
lgc标准品
sigma
larodan标准品
NIBSC
cato
IRMM
Cerilliant
Chemservice
accustandard
o2si
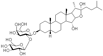
知母皂苷I对照品
我要购买
产品编号:C39H66O14
产品规格:20mg
产品价格:1200
产品详情
中文名称
知母皂苷I对照品
中文别名
无
英文名
Anemarrhenasaponin I
英文别名
无
分子式
C39H66O14
分子量
758.93
CAS登录号
163047-21-0
提取来源
知母Anemarrhena asphodeloides Bunge
化学结构
外观
白色粉末
NMR,MS
4℃冷藏、密封、避光
2年
无
鉴别方法
贮存条件
有效期
注意事项
溶解性
微溶于水,溶于DMSO
测定方法
甲醇/水=80/20, 35min, 0.8ml/min; ELSD
药典测定方法
无
用途
用于含量测定/鉴定/药理实验等
电话咨询