美国药典
进口标准品
TRC
分析标准品
英国药典
欧洲药典标准品
农药标准品
dr标准品
TLC标准品
lgc标准品
sigma
larodan标准品
NIBSC
cato
IRMM
Cerilliant
Chemservice
accustandard
o2si
知母皂苷Ia对照品
我要购买
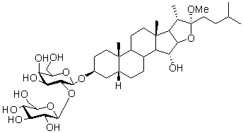
产品编号:C40H68O14
产品规格:10mg
产品价格:1500
产品详情
中文名称
知母皂苷Ia对照品
中文别名
无
英文名
Anemarrhenasaponin Ia
英文别名
无
分子式
C40H68O14
分子量
772.96
CAS登录号
221317-02-8
提取来源
知母 Anemarrhena asphodeloides Bunge
化学结构
外观
白色粉末
NMR,MS
4℃冷藏、密封、避光
2年
无
鉴别方法
贮存条件
有效期
注意事项
溶解性
微溶于甲醇,溶于DMSO,吡啶
测定方法
甲醇/水=80/20,30min, 0.8ml/min; ELSD
药典测定方法
无
用途
用于含量测定/鉴定/药理实验等
电话咨询