化学对照品
自制对照品
对照药材
中药对照品
工作对照品
国家对照品
杂质对照品
中检所对照品
液相标准品
Supelco
Witega
APSC
NIST
NU-Chek
ChromaDex
Fermentek
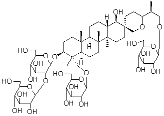
凤仙萜四醇皂苷K对照品
我要购买
产品编号:C54H92O25
产品规格:20mg
产品价格:1100
产品详情
中文名称
凤仙萜四醇皂苷K对照品
中文别名
无
英文名
Hosenkoside K
英文别名
无
分子式
C54H92O25
分子量
1141.29
CAS登录号
160896-49-1
提取来源
急性子
化学结构
外观
白色粉末
NMR,MS
4℃冷藏、密封、避光
2年
无
鉴别方法
贮存条件
有效期
注意事项
溶解性
溶于甲醇、DMSO,吡啶
测定方法
补充中
药典测定方法
补充中
用途
用于含量测定/鉴定/药理实验等
电话咨询