美国药典
进口标准品
TRC
分析标准品
英国药典
欧洲药典标准品
农药标准品
dr标准品
TLC标准品
lgc标准品
sigma
larodan标准品
NIBSC
cato
IRMM
Cerilliant
Chemservice
accustandard
o2si
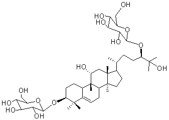
罗汉果皂苷IIe对照品
我要购买
产品编号:C42H72O14
产品规格:20mg
产品价格:2000
产品详情
中文名称
罗汉果皂苷IIe对照品
中文别名
无
英文名
Mogroside IIe
英文别名
无
分子式
C42H72O14
分子量
801.01
CAS登录号
88901-38-6
提取来源
罗汉果
化学结构
外观
白色或类白色粉末
NMR,MS
4℃冷藏、密封、避光
2年
无
鉴别方法
贮存条件
有效期
注意事项
溶解性
溶于甲醇,DMSO
测定方法
C18柱,乙腈/水=30/70, 40 min;203nm
药典测定方法
无
用途
用于含量测定/鉴定/药理实验等
电话咨询