化学对照品
自制对照品
对照药材
中药对照品
工作对照品
国家对照品
杂质对照品
中检所对照品
液相标准品
Supelco
Witega
APSC
NIST
NU-Chek
ChromaDex
Fermentek
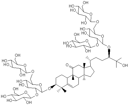
11-氧-罗汉果皂苷VI对照品
我要购买
产品编号:C66H110O34
产品规格:1mg
产品价格:2980
产品详情
中文名称
11-氧-罗汉果皂苷VI对照品
中文别名
无
英文名
11-oxo-morgroside VI
英文别名
无
分子式
C66H110O34
分子量
1447.56
CAS登录号
1421942-59-7
提取来源
罗汉果
化学结构
外观
浅黄色粉末
NMR,MS
4℃冷藏、密封、避光
2年
无
鉴别方法
贮存条件
有效期
注意事项
溶解性
溶于水,甲醇,DMSO,吡啶
测定方法
C18柱,乙腈/水=21/79, 40 min;203nm
药典测定方法
无
用途
用于含量测定/鉴定/药理实验等
电话咨询