化学对照品
自制对照品
对照药材
中药对照品
工作对照品
国家对照品
杂质对照品
中检所对照品
液相标准品
Supelco
Witega
APSC
NIST
NU-Chek
ChromaDex
Fermentek
千金子甾醇对照品
我要购买
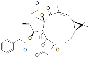
产品编号:C32H40O8
产品规格:20mg
产品价格:280
产品详情
中文名称
千金子甾醇对照品
中文别名
无
英文名
Euphorbiasteroid
英文别名
无
分子式
C32H40O8
分子量
552.66
CAS登录号
28649-59-4
提取来源
续随子
化学结构
外观
白色粉末或晶体
NMR,MS
4℃冷藏、密封、避光
2年
无
鉴别方法
贮存条件
有效期
注意事项
溶解性
溶于氯仿、乙酸乙酯,可溶于甲醇,不溶于水
测定方法
补充中
药典测定方法
无
用途
用于含量测定/鉴定/药理实验等
电话咨询