化学对照品
自制对照品
对照药材
中药对照品
工作对照品
国家对照品
杂质对照品
中检所对照品
液相标准品
Supelco
Witega
APSC
NIST
NU-Chek
ChromaDex
Fermentek
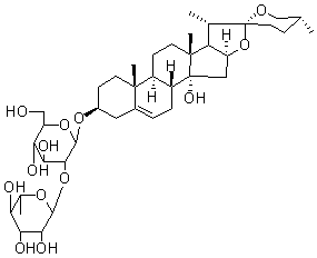
龙血树皂苷F对照品
我要购买
产品编号:C39H62O13
产品规格:5mg
产品价格:3000
产品详情
中文名称
龙血树皂苷F对照品
中文别名
无
英文名
Dracaenoside F
英文别名
无
分子式
C39H62O13
分子量
738.90
CAS登录号
109460-83-5
提取来源
麦冬
化学结构
外观
白色粉末
NMR,MS
4℃冷藏、密封、避光
2年
无
鉴别方法
贮存条件
有效期
注意事项
溶解性
溶于甲醇,DMSO,吡啶
测定方法
C18柱,乙腈/水=55/45, 30min,0.8mL/min,203nm
药典测定方法
无
用途
用于含量测定/鉴定/药理实验等
电话咨询