化学对照品
自制对照品
对照药材
中药对照品
工作对照品
国家对照品
杂质对照品
中检所对照品
液相标准品
Supelco
Witega
APSC
NIST
NU-Chek
ChromaDex
Fermentek
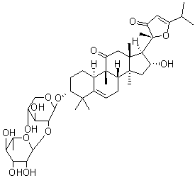
苦玄参皂苷IA对照品
我要购买
产品编号:C41H62O13
产品规格:20mg
产品价格:500
产品详情
中文名称
苦玄参皂苷IA对照品
中文别名
无
英文名
Picfeltarraenin IA
英文别名
无
分子式
C41H62O13
分子量
762.92
CAS登录号
97230-47-2
提取来源
玄参
化学结构
外观
白色粉末
NMR,MS
4℃冷藏、密封、避光
2年
无
鉴别方法
贮存条件
有效期
注意事项
溶解性
溶于甲醇,DMSO,吡啶
测定方法
乙腈/水=36/64,20min,36/64-76/24,40min,263nm
药典测定方法
无
用途
用于含量测定/鉴定/药理实验等
电话咨询