产品编号:C47H74O18
产品规格:20mg
产品价格:3000
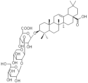
| 中文名称 | 3-O-葡萄糖基地肤子皂苷Ic对照品 | 中文别名 | 齐墩果酸-3-O-葡萄糖(1-2)木糖(1-3)葡萄糖醛酸苷 | ||||||||
| 英文名 | Oleanolic acid -3-O-glucosyl(1-2)xylyl(1-3)glucosiduronic acid | 英文别名 | 无 | ||||||||
| 分子式 |
|
||||||||||
| 提取来源 |
|
||||||||||
| 外观 |
|
||||||||||
| 鉴别方法 | |||||||||||
| 贮存条件 | |||||||||||
| 有效期 | |||||||||||
| 注意事项 | |||||||||||
| 溶解性 | 可溶于甲醇,易溶于吡啶,DMSO | ||||||||||
| 测定方法 | C18柱,甲醇/水(1%醋酸)=70/30,0.8ml/min,280nm | ||||||||||
| 药典测定方法 | 无 | ||||||||||
| 用途 | 用于含量测定/鉴定/药理实验等 | ||||||||||