美国药典
进口标准品
TRC
分析标准品
英国药典
欧洲药典标准品
农药标准品
dr标准品
TLC标准品
lgc标准品
sigma
larodan标准品
NIBSC
cato
IRMM
Cerilliant
Chemservice
accustandard
o2si
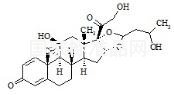
24-羟基布地奈德标准品(24-Hydroxy Budesonide)
我要购买
产品编号:VIP(lb)0316
产品规格:10mg
产品价格:询价
产品详情
24-羟基布地奈德标准品
编号:VIP(lb)0316
英文:24-Hydroxy Budesonide
规格:10mg
分子式:C25H34O7
分子量:446.55
产品类别:
杂质对照品
,由【莱耀生物】提供
注:点击cas号即可显示价格
电话咨询